全球变化对湿地生态系统碳、氮循环的影响研究进展
(1)氮可利用性变化对湿地植物凋落物分解及温度敏感性的影响
开展了外源氮和内源氮有效性对沼泽湿地植物凋落物分解的影响。首先,采用野外原位氮添加试验探讨了氮富集对植物凋落物质量及其分解速率的影响,发现氮添加提高了植物凋落物的氮含量,降低了碳氮比(表1),促进了植物凋落物的质量损失和氮素释放速率(图1)。同时,采用室内培养试验研究了外源氮有效性对植物凋落物分解的影响,发现在淹水和非淹水条件下氮添加均促进了植物凋落物分解(表2)。
表1 外源氮输入对植物凋落物特性的影响
|
处理 |
有机碳 |
全氮 |
全磷 |
纤维素 |
碳氮比 |
|
|
mg g-1 |
mg g-1 |
mg g-1 |
% |
|
|
对照 |
502.9(0.7)* |
3.22(0.17) |
0.51(0.07) |
31.16(1.14) |
156.5(8.1)*** |
|
氮添加 |
461.1(0.3) |
6.84(0.67)** |
0.94(0.19) |
29.88(2.50) |
67.8(6.6) |
标注:*,p<0.05;**,p<0.01;***,p<0.001。

图1 外源氮输入对植物凋落物质量损失和氮释放的影响
表2 外源氮输入对植物凋落物分解的影响
|
氮添加水平 |
CO2累积产生量 |
质量残留量 | ||
|
mg N g-1 litter |
mg C g-1 litter |
% | ||
|
|
非淹水条件 |
淹水条件 |
非淹水条件 |
淹水条件 |
|
0 |
81.8(4.4)b |
63.6(0.9)c |
75.3(1.4)a |
81.2(0.2)a |
|
25 |
108.6(7.9)a |
68.2(0.6)a |
65.8(1.3)c |
77.2(1.8)ab |
|
50 |
104.6(11.3)a |
65.5(0.1)b |
68.2(2.4)bc |
76.0(2.2)b |
|
100 |
92.8(3.8)ab |
68.2(0.9)a |
71.0(1.1)b |
76.6(2.0)b |
标注:不同小写字母表示处理间存在显著差异,p<0.05。
选取三江平原潜育沼泽主要植物毛苔草(CL)和小叶章(DA)叶片凋落物,开展了氮添加、温度和物种混合比例对植物凋落物分解的影响,发现氮添加对植物凋落物分解的影响随着温度的变化而变化,在低温(5℃)和中温(15℃)条件下抑制植物凋落物分解,在高温条件下促进植物凋落物分解(图2)。植物凋落物分解的温度敏感性在5-15℃间高于15-25℃。氮添加在5-15℃间降低了植物凋落物分解的温度敏感性,而在15-25℃提高了温度敏感性(图3)。而且,氮添加改变了植物凋落物混合分解的交互作用(图4)。

图2 外源氮输入对植物凋落物分解温度敏感性的影响
标注:*,p<0.05;**,p<0.01;***,p<0.001。

图3 外源氮输入对植物凋落物混合分解交互作用的影响
标注:不同小写字母表示处理间存在显著差异,p<0.05。
(2)不同冻土环境沼泽湿地植物根系生产与周转及养分有效性变化对细根分解的影响
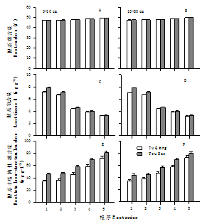
选取大兴安岭北部连续多年冻土区和小兴安岭不连续多年冻土区典型泥炭沼泽开展了植物细根生产量和周转率的研究,发现在0-10和10-20 cm土壤深度,不连续多年冻土区沼泽湿地植物细根产量比连续多年冻土区分别高出36%和39%,而细根总长度则分别高出18%和22%(图4)。与连续多年冻土区相比,不连续多年冻土区沼泽湿地植物各根序细根生物量和总长度均增加(图5)。而且,不连续多年冻土区植物细根周转率均高于连续多年冻土区(图6)。在0-10和10-20 cm土壤深度,连续多年冻土区泥炭沼泽细根周转率分别为0.47和0.34 yr-1,而不连续多年冻土区泥炭沼泽则分别为0.51和0.37 yr-1。
在0-10和10-20 cm土壤深度,连续多年冻土区和不连续多年冻土区沼泽湿地植物各级根平均长度均没有差异。在0-10 cm深度,不连续多年冻土区沼泽湿地植物1级和2级根直径比连续多年冻土区分别高出12%和15%,而3-5级根没有差异(图10)。在10-20 cm深度,不连续多年冻土区沼泽湿地植物1-3级根直径比连续多年冻土区分别高出11%、14%和23%,而4-5级根则没有差异。

图4不同冻土区泥炭沼泽1-5级细根的生产量和根长密度
(不同小写字母表示处理间存在显著差异,p<0.05)

图5 不同冻土区泥炭沼泽细根周转率
(不同小写字母表示处理间存在显著差异,p<0.05)

图6 不同冻土区泥炭沼泽1-5级根的直径和平均根长
在0-10和10-20 cm土壤深度,连续多年冻土区和不连续多年冻土区沼泽湿地植物各级根全碳含量均没有显著差异(图7)。在0-10cm土壤深度,不连续多年冻土区沼泽湿地植物1级和2级根氮含量比连续多年冻土区分别高7%和9%,而3-5级根不存在差异。在10-20 cm土壤深度,不连续多年冻土区沼泽湿地植物1-3级根氮含量比连续多年冻土区分别高6%、6%和11%,而4-5级根则不存在差异。在0-10和10-20 cm土壤深度,不连续多年冻土区沼泽湿地植物1-5级根非结构性碳含量均高于连续多年冻土区。

图7 不同冻土区泥炭沼泽1-5级根的全碳、全氮和非结构性碳含量
选取三江平原小叶章沼泽湿地,开展了养分(氮和磷)有效性变化对细根分解的影响,发现在15°C和25°C条件下养分有效性变化对细根分解的影响基本一致(表3)。高氮输入提高了细根的分解速率,而磷输入没有促进细根分解,甚至降低其分解速率。而且,氮和磷输入对植物细根分解产生显著的交互作用。在低氮输入以及氮磷同时输入的条件下,植物细根分解的温度敏感性降低。
表3 氮(N)和磷(P)添加对细根分解过程中累积CO2产生量(C121)、潜在CO2产生量(C0)、分解速率常量(k)和质量损失(mass loss)的影响

附件下载: