东北地理所在利用土壤元素组成特征评估湿地恢复效果研究中取得进展
湿地是地球上最富有生物多样性的生态系统和人类最重要的生存环境之一,具有不可替代的生态功能,被称为"地球之肾"。自20世纪初以来,由于人类的大规模开发利用,全球约有一半以上的湿地丧失。20世纪80年代以来,随着对湿地重要性认识的深入以及湿地保护的加强,世界范围内实施了大规模的生态恢复工程,以期恢复重要的湿地生态系统服务功能。
在评估湿地恢复效果的科研工作中,多数研究重点关注湿地植被的恢复过程,对湿地生态工程能否使土壤生物地球化学过程恢复到原始状态仍缺乏足够的认识。土壤元素化学是湿地生物地球化学过程的重要指征,受景观特征、水文条件和人为干扰等因素的影响。土壤元素组成通常由气候和成土母质共同决定。目前已开展的研究多关注一个或少数几个元素,关于湿地恢复前后土壤元素组成的变化规律尚不清楚,而相关研究对于揭示湿地生物地球化学变化过程非常重要,将为湿地恢复效果评估与管理决策提供重要的参考信息。。
东北地理所科研人员以我国湿地生态恢复工程重点实施区域—三江平原为研究区,选取天然湿地、恢复湿地和开垦农田三种土地利用类型,在湿地植被恢复研究的基础上,开展了湿地恢复前后土壤元素组成特征(55种)及其指示的生物地球化学变化过程研究。研究结果表明,三种土地利用类型的土壤元素组成特征具有显著差异,恢复湿地的土壤元素含量整体介于天然湿地和开垦农田之间。其中,氮、硫养分元素以及少数过渡金属元素含量在天然湿地中最高,在开垦农田中最低。相反,钠、钾元素以及大部分镧系金属元素含量在天然湿地中最低,在开垦农田中最高。磷元素在恢复湿地含量最高。
土壤有机质含量、电导率和pH是影响土壤元素组成的最主要环境因子。其中,土壤有机质含量与氮、硫、磷以及少数金属元素含量显著正相关,而与其他大部分金属元素含量显著负相关。湿地生态工程在一定程度上恢复了土壤有机质,使得土壤元素组成特征向未受干扰的自然状态方向发展。湿地生态工程实施10-15年,土壤元素组成指示的生物地球化学功能可恢复到天然湿地50%左右的水平。然而,土壤特性的差异使得恢复湿地的生物地球化学难以完全达到未受干扰的自然水平。
土壤质地类型及吸附作用,以及植物生长、根际过程和微生物介导的反硝化作用等生物过程显著影响碳吸收、养分积累和金属元素迁移,调控土壤元素组成和生物地球化学循环。土壤元素组成特征与土壤有机质和电导率是生物地球化学功能的敏感指标,可结合已有生物指标,综合评价湿地生态系统结构和功能的恢复效果。
本研究由东北地理所王国栋副研究员、姜明研究员、薛振山副研究员,我所海外特聘研究员、美国北达科他州立大学Marinus Otte教授、袁宇翔博士等共同完成。成果发表于国际土壤学专业期刊Geoderma和Land Degradation and Development。该研究得到国家自然科学基金、国家重点研发计划、中国科学院青年创新促进会人才项目以及中科院东北地理所优秀青年人才基金等共同资助。论文信息列表如下:
1.Wang, G.D., Otte, M.L., Jiang, M., Wang, M., Yuan, Y.X., Xue, Z.S., 2019. Does the element composition of soils of restored wetlands resemble natural wetlands? Geoderma, 351: 174-179. https://doi.org/10.1016/j.geoderma.2019.05.032
2.Wang, G.D., Jiang, M., Wang, M., Xue, Z.S., 2020. Element composition of soils to assess the success of wetland restoration. Land Degradation and Development. https://doi.org/10.1002/ldr.3561
                                                      
图1 土壤元素组成与约束环境变量的RDA排序图
                                            
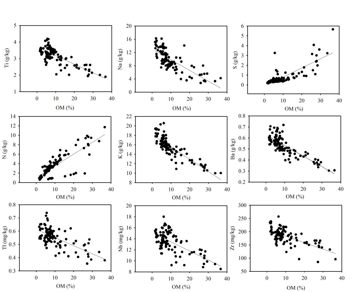
图2 土壤元素含量与土壤有机质含量的相关性
                                          
图3 基于Bray-Curtis算法的样地(天然湿地、恢复湿地、开垦农田)NMDS排序图
                                              
图4 不同样地类型(天然湿地、恢复湿地、开垦农田)土壤元素组成聚类分析
表1 不同类型样地 (天然湿地、恢复湿地、开垦农田)土壤元素含量及环境因素差异
| 
 
  | 
 Unit  | 
 Undisturbed  | 
 Restored  | 
 Paddy  | 
 P  | |
| 
 Environmental Factors  | ||||||
| 
 OM  | 
 %  | 
 16.00±1.50  | 
 8.26±0.49  | 
 4.65±0.41  | 
 <0.001  | |
| 
 EC  | 
 μs/cm  | 
 2360±620  | 
 592±47  | 
 751±77  | 
 <0.001  | |
| 
 pH  | 
 -  | 
 6.08±0.10  | 
 6.37±0.13  | 
 6.84±0.16  | 
 <0.001  | |
| 
 Element concentrations, no significant variation (U=R=P)  | ||||||
| 
 Ag  | 
 mg/kg  | 
 0.19±0.01  | 
 0.17±0.01  | 
 0.20±0.02  | 
 0.243  | |
| 
 Al  | 
 g/kg  | 
 57.4±1.8  | 
 59.1±1.5  | 
 58.0±1.5  | 
 0.754  | |
| 
 As  | 
 mg/kg  | 
 3.24±0.17  | 
 3.16±0.16  | 
 3.22±0.29  | 
 0.956  | |
| 
 B  | 
 mg/kg  | 
 32.4±2.8  | 
 35.1±1.4  | 
 35.0±2.9  | 
 0.676  | |
| 
 Ca  | 
 g/kg  | 
 7.63±0.37  | 
 7.49±0.37  | 
 7.71±0.43  | 
 0.930  | |
| 
 Fe  | 
 g/kg  | 
 25.4±0.97  | 
 28.2±0.80  | 
 27.0±1.20  | 
 0.117  | |
| 
 Gd  | 
 mg/kg  | 
 4.56±0.17  | 
 4.68±0.12  | 
 5.05±0.15  | 
 0.075  | |
| 
 In  | 
 mg/kg  | 
 0.06±0.001  | 
 0.06±0.002  | 
 0.05±0.01  | 
 0.060  | |
| 
 Mg  | 
 g/kg  | 
 5.46±0.17  | 
 5.52±0.24  | 
 5.22±0.33  | 
 0.681  | |
| 
 Pb  | 
 mg/kg  | 
 19.9±0.40  | 
 20.9±0.53  | 
 21.6±0.87  | 
 0.136  | |
| 
 Rb  | 
 mg/kg  | 
 79.4±1.6  | 
 80.4±2.0  | 
 80.3±1.8  | 
 0.912  | |
| 
 Se  | 
 mg/kg  | 
 0.25±0.01  | 
 0.27±0.02  | 
 0.24±0.01  | 
 0.275  | |
| 
 Sc  | 
 mg/kg  | 
 9.31±0.21  | 
 9.37±0.19  | 
 9.18±0.25  | 
 0.829  | |
| 
 Sn  | 
 mg/kg  | 
 2.93±0.12  | 
 3.19±0.08  | 
 2.95±0.11  | 
 0.165  | |
| 
 U  | 
 mg/kg  | 
 3.62±0.51  | 
 2.97±0.23  | 
 2.48±0.15  | 
 0.098  | |
| 
 Element concentrations, decreasing (U ≥ R ≥ P)  | ||||||
| 
 Bi  | 
 mg/kg  | 
 0.25±0.01  | 
 0.22±0.005  | 
 0.21±0.005  | 
 0.001  | |
| 
 Cd  | 
 mg/kg  | 
 0.28±0.01  | 
 0.26±0.01  | 
 0.22±0.01  | 
 0.007  | |
| 
 Cu  | 
 mg/kg  | 
 28.0±0.9  | 
 28.6±0.7  | 
 23.2±0.6  | 
 <0.001  | |
| 
 Cr  | 
 mg/kg  | 
 76.0±5.0  | 
 72.4±3.6  | 
 60.1±2.8  | 
 0.024  | |
| 
 Mo  | 
 mg/kg  | 
 2.24±0.19  | 
 1.17±0.08  | 
 1.00±0.05  | 
 <0.001  | |
| 
 N  | 
 g/kg  | 
 5.08±0.44  | 
 3.51±0.21  | 
 1.65±0.15  | 
 <0.001  | |
| 
 Ni  | 
 mg/kg  | 
 27.9±1.8  | 
 23.1±0.7  | 
 20.5±0.9  | 
 <0.001  | |
| 
 S  | 
 g/kg  | 
 1.36±0.19  | 
 0.51±0.04  | 
 0.43±0.10  | 
 <0.001  | |
| 
 Zn  | 
 mg/kg  | 
 46.0±2.5  | 
 35.7±2.0  | 
 32.8±2.7  | 
 <0.001  | |
| 
 Increasing (U ≤ R ≤ P)  | ||||||
| 
 Ba  | 
 g/kg  | 
 0.49±0.02  | 
 0.55±0.01  | 
 0.57±0.01  | 
 <0.001  | |
| 
 Be  | 
 mg/kg  | 
 2.26±0.06  | 
 2.58±0.06  | 
 2.47±0.07  | 
 0.001  | |
| 
 Ce  | 
 mg/kg  | 
 56.5±1.5  | 
 56.9±1.7  | 
 65.5±1.9  | 
 <0.001  | |
| 
 Co  | 
 mg/kg  | 
 10.2±0.4  | 
 11.4±0.3  | 
 12.6±0.9  | 
 0.010  | |
| 
 Dy  | 
 mg/kg  | 
 3.31±0.07  | 
 3.50±0.09  | 
 3.75±0.11  | 
 0.004  | |
| 
 Er  | 
 mg/kg  | 
 1.78±0.04  | 
 1.85±0.05  | 
 2.01±0.07  | 
 0.008  | |
| 
 Eu  | 
 mg/kg  | 
 1.00±0.02  | 
 1.06±0.03  | 
 1.17±0.03  | 
 <0.001  | |
| 
 Ho  | 
 mg/kg  | 
 0.63±0.01  | 
 0.66±0.02  | 
 0.70±0.02  | 
 0.02  | |
| 
 K  | 
 g/kg  | 
 14.3±0.4  | 
 15.7±0.3  | 
 16.9±0.3  | 
 <0.001  | |
| 
 La  | 
 mg/kg  | 
 28.8±0.7  | 
 29.6±0.8  | 
 32.3±0.9  | 
 0.007  | |
| 
 Lu  | 
 mg/kg  | 
 0.23±0.01  | 
 0.24±0.01  | 
 0.26±0.01  | 
 0.011  | |
| 
 Mn  | 
 mg/kg  | 
 160±7  | 
 160±11  | 
 233±31  | 
 0.005  | |
| 
 Na  | 
 g/kg  | 
 7.86±0.52  | 
 9.66±0.40  | 
 12.41±0.42  | 
 <0.001  | |
| 
 Nd  | 
 mg/kg  | 
 26.9±0.9  | 
 27.4±0.8  | 
 29.9±0.9  | 
 0.042  | |
| 
 Pr  | 
 mg/kg  | 
 6.81±0.16  | 
 7.04±0.20  | 
 7.73±0.22  | 
 0.004  | |
| 
 Sb  | 
 mg/kg  | 
 1.20±0.04  | 
 1.16±0.02  | 
 1.61±0.18  | 
 0.003  | |
| 
 Sm  | 
 mg/kg  | 
 4.94±0.12  | 
 5.20±0.14  | 
 5.67±0.16  | 
 0.002  | |
| 
 Sr  | 
 mg/kg  | 
 115±6  | 
 130±6  | 
 157±7  | 
 <0.001  | |
| 
 Ti  | 
 g/kg  | 
 2.90±0.11  | 
 3.34±0.06  | 
 3.30±0.05  | 
 <0.001  | |
| 
 Tl  | 
 mg/kg  | 
 0.53±0.02  | 
 0.57±0.01  | 
 0.56±0.01  | 
 0.015  | |
| 
 Tb  | 
 mg/kg  | 
 0.61±0.01  | 
 0.64±0.02  | 
 0.69±0.02  | 
 0.004  | |
| 
 Th  | 
 mg/kg  | 
 7.67±0.18  | 
 8.05±0.17  | 
 8.46±0.17  | 
 0.009  | |
| 
 Tm  | 
 mg/kg  | 
 0.25±0.01  | 
 0.26±0.01  | 
 0.28±0.01  | 
 0.010  | |
| 
 Yb  | 
 mg/kg  | 
 1.59±0.04  | 
 1.66±0.04  | 
 1.80±0.06  | 
 0.008  | |
| 
 Y  | 
 mg/kg  | 
 29.9±0.5  | 
 31.7±0.5  | 
 31.6±0.8  | 
 0.039  | |
| 
 Zr  | 
 mg/kg  | 
 164±4  | 
 194±4  | 
 194±5  | 
 <0.001  | |
| 
 U<R>P  | ||||||
| 
 Cs  | 
 mg/kg  | 
 7.24±0.22  | 
 7.40±0.16  | 
 6.56±0.20  | 
 0.012  | |
| 
 Li  | 
 mg/kg  | 
 27.5±1.2  | 
 28.6±0.6  | 
 25.1±0.8  | 
 0.037  | |
| 
 Nb  | 
 mg/kg  | 
 12.3±0.3  | 
 14.3±0.3  | 
 14.0±0.2  | 
 <0.001  | |
| 
 P  | 
 g/kg  | 
 0.69±0.03  | 
 0.74±0.05  | 
 0.59±0.02  | 
 0.021  | |
| 
 V  | 
 mg/kg  | 
 74.0±1.6  | 
 81.9±1.7  | 
 75.1±2.0  | 
 0.003  | |
附件下载: