东北地理所在土壤线虫多样性对农田有机肥施用量的响应方面取得进展
土壤线虫是土壤中最为丰富的多细胞动物,在土壤物质循环和能量流动中起着重要的作用,已被广泛地作为土壤指示生物评价外界扰动对土壤生物多样性的影响。在农田生态系统中,施用有机肥是提升土壤肥力、提高作物产量的有效方式之一,以往大量研究表明施用有机肥影响土壤线虫的多样性,然而关于有机肥施用量对土壤线虫群落结构和功能影响关注较少。为此,东北地理所农田有害生物控制学科组潘凤娟副研究员与黑土保护与利用学科组韩晓增研究员以农田生态系统不同有机肥施用量长期定位试验为研究平台,比较分析了不施肥和化肥配施不同量有机肥(0、7.5和22.5t/ha猪粪)土壤线虫群落组成和代谢足迹,阐明了有机肥施用量对土壤线虫群落结构和食物网功能的影响。
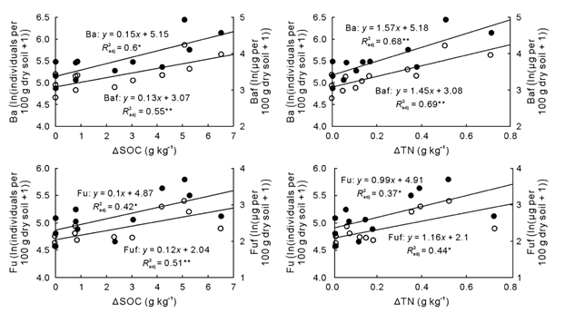
研究结果表明:在农田生态系统中,施用高量有机肥(22.5t/ha猪粪)增加了优势线虫的数量,食细菌线虫和食真菌线虫的丰度随有机肥施用量的增加呈递增的趋势。有机肥的施用量也影响土壤线虫食物网结构,线虫通路指数在5月和10月份随有机肥施用量的增加呈降低趋势,而三个取样时期富集指数随有机肥施用量的增加均呈递增的趋势(图1),线性回归分析表明食细菌线虫和食真菌线虫的丰度及代谢足迹与土壤TOC和TN的增量呈显著正相关(图2)。这些结果表明随有机肥施用量的增加,有机物细菌降解路径的比率增大,有机肥施用量主要影响处在食物网低营养级线虫的活性和功能,从土壤线虫群落结构和功能的角度分析,适量增加有机肥的施用量可促进土壤食物网物中物质循环和能量流动。

图1 不同量有机肥处理下线虫食物网指数

图2 土壤线虫丰度和代谢足迹与土壤有机碳和总氮增量的关系
以上研究由东北地理所潘凤娟副研究员(第一作者)和韩晓增研究员(通讯作者)等共同完成,相关研究结果于近期发表在Pedosphere上。
论文信息:
Fengjuan Pan, Xiaozeng Han*, Na Li, Jun Yan, Yanli Xu. Effect of organic amendment amount on soil nematode community structure and metabolic footprints in soybean phase of a soybean-maize rotation on Mollisols. Pedosphere, 2020, 30(4), 544–554. https://doi.org/10.1016/S1002-0160(17)60432-6.
附件下载: