科研动态
  您现在的位置:首页 > 新闻动态 > 科研动态
东北地理所在生物炭影响黑土农田土壤微生物群落结构研究取得进展
2017-03-31 | 来源:东北地理所农田分子生态学科组 |【

  生物炭是生物质原料在无氧或缺氧条件下经高温裂解产生的固体物质。生物炭通常具有高pH值,高碳氮比、高多孔性和对土壤养分具有较强吸附能力的特点。生物炭施入土壤中,不易被微生物分解利用,残存时间长,被认为是一种有利于提高土壤碳固定,改良土壤理化性质的土壤改良剂。但目前国际上有关生物炭对土壤理化性质及土壤生物学特性的研究多是基于一年内的室内培养或当年的盆栽、田间试验结果,而针对多年后的短期和长期效应的研究还很少。东北黑土素以土壤有机质含量高,土壤肥沃而著称,但由于长期过度开发利用和不合理的农业措施管理等原因,导致土壤酸化、土壤压实和土壤肥力下降等退化问题严重。基于生物炭固有的特征和施入土壤后的动态,研究生物炭短期和长期的生态效应对于科学制定生物炭施用策略具有指导意义。

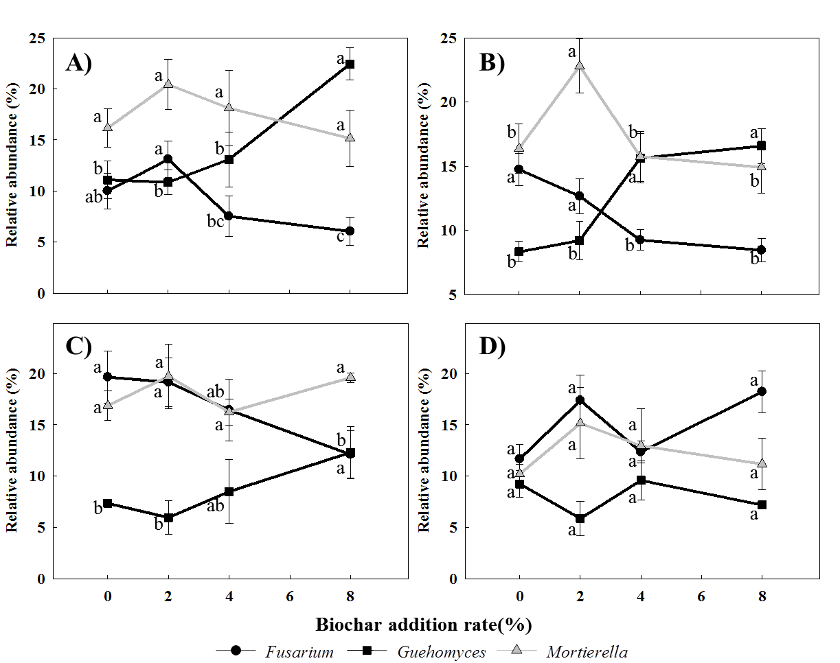
  为此,东北地理所农田分子生态学科组于2012年建立了一个秸秆生物炭施用长期观测研究平台。生物炭按耕层土壤质量的0%、2%、4%和8%一次性混合施入土壤,大豆和玉米轮作种植,监测生物炭对土壤理化性质和土壤微生物的影响。项目组于2014年分4次采集耕层土壤样品,解析土壤理化指标和土壤细菌和真菌群落变化情况。研究结果发现,生物炭施用3年后仍然对土壤理化指标产生明显影响,表现为增加土壤全碳和全氮含量、增加土壤含水量、提高土壤pH值、降低土壤容重等。采用实时荧光定量PCR和Illumina Miseq测序技术对土壤细菌群落研究发现,添加生物炭增加了土壤细菌丰度,在门、属和OTU等分类水平上均改变了细菌群落组成;发现施用生物炭增加了一些功能细菌的相对丰度,如芽孢杆菌属(Bacillus)和土微菌属(Pedomicrobium)等,而降低了慢生根瘤菌(Bradyrhizobium)相对丰度;CCA分析表明,土壤细菌群落结构变化与土壤pH、全碳、全氮和全钾含量紧密相关。在土壤真菌群落结构研究方面,发现生物炭施用也增加了土壤真菌丰度,在属和OTU水平上改变了真菌群落结构,但在门水平上没有显著影响;值得注意的是,生物炭施用降低了镰刀菌属(Fusarium)和黑粉菌属(Ustilago)OTUs的相对丰度,说明施用生物炭有抑制有害植物病原菌生长繁殖的作用。CCA分析表明,土壤真菌群落结构变化与土壤理化指标,如土壤pH、含水量、TC、TN、TK和AK等密切相关。

  相关研究结果近期发表在Soil Biology and Biochemistry和Applied Soil Ecology上。东北地理所博士研究生姚钦为第一作者,王光华研究员为通信作者。该项研究得到了中国科学院战略性先导科技专项(B类)(XDB15010103)和黑龙江省杰出青年科学基金(JC201116)的联合资助。

 

图1生物炭施用对黑土细菌群落(A、B)和真菌群落结构(C、D)的NMDS和CCA分析

图2 不同添加量生物炭对优势真菌属相对丰度的影响。A、B、C和D分别是采集的4月、6月、8月和10月的土壤样品。

  论文信息: 

  1.Yao, Q., Liu, J., Yu, Z., Li, Y., Jin, J., Liu, X., Wang, G*. Three years of biochar amendment alters soil physiochemical properties and fungal community composition in a black soil of northeast China. Soil Biology and Biochemistry, 2017, 110: 56-67. 

  2.Yao, Q., Liu, J., Yu, Z., Li, Y., Jin, J., Liu, X., Wang, G*. Changes of bacterial community compositions after three years of biochar application in a black soil of northeast China. Applied Soil Ecology, 2017, 113: 11-21. 

 
  附件下载
地址:吉林省长春市高新北区盛北大街4888号 
邮编:130102 电话: +86 431 85542266
Email: iga@iga.ac.cn 传真: +86 431 85542298
Copyright(2002-2021)中国科学院东北地理与农业生态研究所 吉ICP备05002032号-1
吉公网安备22017302000214号